Урок – практикум «Графический метод решения химических задач»
Графический способ решения задач оказывается более рациональным при решении задач на смеси, смешивание растворов и др.
Задача 2. При растворении в кислоте 2,33 г смеси железа и цинка было получено 896 мл водорода (при н.у.). Вычислите массу каждого из металлов, содержащихся в смеси.
Проанализируем условие задачи. В задаче говорится о взаимодействии смеси металлов с кислотой. Значит, одновременно идут две реакции: цинка с кислотой и железа с кислотой. При этом образуются соответствующие соли, и выделяется водород, суммарный объем которого 0,896 л.
Учитель математики
Решим данное уравнение умножив все его части на произведение 56·65:
65·22,4x + 56·22,4· (2,33-x) = 0,896·56·65
1456x + 2922,752 - 1254,4x = 3261,44
201,6x = 338,688
x = 1,68 г (Fe)
m(Zn) = 2,33 – 1,68 = 0,65 г
Ответ: m(Fe) = 1,68 г
m(Zn) = 0,65 г.
Для построения функциональной прямой нужно подсчитать объем водорода (H
) , выделяемый из кислоты каждым металлом, взятым массой 2,33 г.
Учитель химии
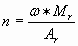
Для расчета целесообразно использовать формулу:
;
Отсюда
;
Так как
, то
. Тогда получаем
— линейная функция, где
зависит от
.
Определяем объем водорода, вытесненный цинком:
л.
Определяем объем водорода, вытесненный железом:
л.
Учитель математики
Строим график прямой пропорциональной зависимости согласно таблице.
По оси абсцисс в начале координат точка 0 соответствует нулевому значению массы цинка и 2,33 г массы железа, а точка 2,33 соответствует нулевому значению массы железа и 2,33 г массы цинка. Соединив точки с координатами (0; 0,803) и (2,33; 0,932) получаем часть прямой, которая отражает зависимость выделившегося объема водорода от соотношения масс металлов в 2,33 г смеси.
Проведем горизонтальную прямую соответствующую значению выделенного водорода в задаче: 0,896 г и получим точку пересечения двух прямых с координатами (0,896; 0,65). Значит масса цинка 0,65 г, а масса железа 2,33 – 0,65 = 1,68 г.
Ответ: в смеси было 0,65 г Zn и 1,68 г Fe.
Учитель химии
Графический способ удобен и доступен для решения задач на вывод формул веществ.
Отношение индексов элементов в формуле можно найти графически.
Зная, что массовая доля элемента в веществе определяется по формуле
—
линейная зависимость, можно найти значение
.
Отношение массовой доли элемента к его относительной атомной массе представляет собой прямую.
Задача 3. Наиболее распространенный в природе фтороапатит содержит 42,23% оксида фосфора, 50,03% оксида кальция и 7,74% фторида кальция. Напишите состав этого минерала в виде формул двух солей.
Смотрите также
Третий закон термодинамики
Понятие химического сродства. Известно, что многие
вещества реагируют друг с другом легко и быстро, другие вещества реагируют с
трудом, а третьи – не реагируют. Исходя из этого, вывели предположени ...
Биогенные амины и алкалоиды
К
пищевым заболеваниям относятся заболевания людей, возникающие при потреблении
продуктов питания с наличием в них опасных для человека микроорганизмов или
ядовитых веществ. Пищевые отравле ...
Введение
Цель
практического эмиссионного спектрального анализа состоит в качественном
обнаружении, в полуколичественном или точном количественном определении
элементов в анализируемом веществе. В зависимост ...
