Продукты окисления
Исследование гидролиза дало ценные сведения о том, что можно было бы назвать периферией молекулы. Гораздо труднее оказалось изучить химическими методами структуру части молекулы, непосредственно окружающей атом кобальта. Кембриджская группа показала, что среди продуктов окисления витамина B12 нельзя обнаружить амида 
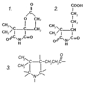
малеиновой кислоты, так что вряд ли можно было относить витамин к истинным порфиринам. Но эти исследователи выделили в довольно большом количестве оксамовую кислоту. Единственные азотсодержащие продукты расщепления "ядра" молекулы выделили в 1955 г. Фолкерс и сотр. Контролируемое окисление хроматом натрия в уксусной кислоте привело к образованию двух продуктов, изображенных на рисунке 6 (1 и 2). Полагали, что они образуются из группировки, имеющей пирролидиновую, пирролиновую или пирролениновую структуру (рис. 6, 3). Это были первые химические данные, указывающие на присутствие пирролоподобной структуры в молекуле, если не считать более ранних данных по пиролизу, позволявших предполагать такую структуру. Несколько позже был выделен и соответствующий продукт, содержащий амидную группу (амид кислоты, представленной на рис. 6, 2). Это явилось прямым химическим подтверждением местоположения по крайней мере, одной из амидных групп.
При окислении цианкобаламина Н2О2 в среде с рН меньше семи наблюдается выход продуктов, обладающих антагонистическим биологическим действием для lactobacillus leichmannii, в отличие от ростового для Euglena gracilis. При окислении перманганатом калия отщепляется синильная кислота, а также образуются уксусная кислота, щавелевая кислота и ее амид, бутандиовая кислота, 2-метилбутандиовая и 2,2-диметилпропандиовая кислоты.
Смотрите также
Технология неконцентрированной азотной кислоты
Азотная
кислота по объему производства занимает среди других кислот второе место после
серной кислоты. Все возрастающий объем производства HNO3
объясняется огромным значением азотной кислот ...
Альдегиды и кетоны
Это единения, содержащие
карбонильную группу = С = О . У альдегидов карбонил связан радикалом и
водородом. Общая формула альдегидов:
R
– C = O
H
У кетонов карбонил
связан ...
Поиск структурно-химической информации в Internet
1.а)
Дифракционные методы-рентгеноструктурный анализ и нейронография-как важнейшие
источники структурно-химической информации.
б) Их основы, возможности и ограничения.
в) ...
