Влияние растворителей и поверхностно-активных веществ на растворы полимеров
Как и поляризующиеся ионы, высшие спирты адсорбируются на макромолекулах этилгидроксиэтилцеллюлозы. Однако в этом случае точка помутнения полимера понижается, поскольку комплекс полимер-спирт оказывается более гидрофобным.
Поверхностно-активные вещества адсорбируются на макромолекулах ЭГЭЦ. Понижение точки помутнения проявляется сильнее с увеличением ионной силы вследствие экранирования зарядов при адсорбции додецилсульфат-иона. При дальнейшем увеличении концентрации ПАВ точка помутнения снова увеличивается из-за образования мицелл на макромолекулах.
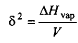
При поиске растворителя для конкретного полимера полезно использовать параметр растворимости. Концепция параметра растворимости базируется на предположении, что «подобное растворяется в подобном». Как упоминалось выше, полимер не растворяется в некоторых жидкостях из-за большой разницы энергий взаимодействия сегментов полимера с молекулами растворителя и энергии взаимодействия сегмент-сегмент и молекул растворителя друг с другом. Чтобы достичь некоторой растворимости полимера энергия взаимодействия сегмент-растворитель должна по возможности быть близкой к энергии взаимодействия сегмент-сегмент и молекула растворителя-молекула растворителя. Энтальпия испарения, отражающая силы когезии жидкости, используется как мера энергии взаимодействия. Однако энтальпия испарения AHvap зависит от молярного объема V9 поэтому ее необходимо нормировать. А нормированная величина дает плотность энергии когезии:
Рис. 4. Понижение температуры помутнения этилгидроксиэтилцеллюлозы в растворах различных солей
Рис. 5. Температура помутнения водных растворов 0.1% ЭГЭЦ в отсутствие солей сильно зависит от введения алифатических спиртов
Чтобы найти подходящий растворитель для определенного полимера, прежде всего нужно найти его параметр растворимости, а затем выбрать растворители, имеющие значения параметров растворимости, близкие к параметру растворимости полимера. Например, параметр растворимости полистрирола равен 1 кал см, хорошими растворителями для него служат циклогексан, бензол и метилэтилкетон, тогда как н-гексан и этанол относятся к «нерастворителям», т. е. они не растворяют полистирол.
Для более детального анализа параметр растворимости разлагают на вклады дисперсионных сил, полярных сил и водородных связей. Тогда параметр растворимости можно записать в виде где индексы d, с и h относятся к вкладам дисперсионных и полярных взаимодействий и водородных связей в общий параметр растворимости. Существует другой подход, в котором учитывают вклады в параметр растворимости ван-дер-ваальсовых и кислотно-основных взаимодействий.
Тета температура является одним из важнейших параметров, описывающих систему полимер-растворитель. При этой температуре сегменты полимера не могут «различить», находятся они в контакте друг с другом или в контакте с молекулами растворителя. При этом полимер будет принимать конфигурацию, которой он обладал бы в жидком состоянии. Можно сказать, что полимер находится в «невозмущенном» состоянии по размеру. Обычные растворители повышают качество растворителя при увеличении температуры вследствие роста тепловой энергии. В результате сегменты полимера стремятся контактировать преимущественно с молекулами растворителя, а не находиться в контакте друг с другом. Это приводит к увеличению клубка макромолекулы. В то же время при температурах ниже тета-температуры сегменты полимера предпочтительно взаимодействуют между собой, а не с молекулами растворителя. При этом макромолекула сжимается. Тета-температуру называют также температурой Флори, а растворитель или смесь растворителей, использующихся при этой температуре, называют тета-растворителем.
Смотрите также
Газовая хроматография и определение этанола в метаноле методом внутренней нормализации
Производственная лаборатория химического анализа и контроля за
качеством продукции (далее лаборатория) является структурным подразделением
службы главного технолога ООО «Сибметахим» и п ...
Эволюционная химия
Тема
моего реферата: «эволюционная химия – высшая ступень развития химических
знаний». В нем будут рассмотрены вопросы, касающиеся места и роли химии в современной
цивилизации, задачи, конц ...
Задачи по кинетике цепных, фотохимических и гетерогенных реакций при подготовке школьников к олимпиадам
Физическая
химия – наука, которая изучает общие закономерности физических процессов и
является теоретической основой всей химической науки и технологии химических
производств. Одним из наиб ...
